API represents all segments of America’s oil and natural gas industry.

API 5C3 is a technical report for calculating performance properties of pipe used as casing and tubing.

The internal yield pressure is calculated by using the following formula:

image68ez5f.png

IYP = Internal Yield Pressure (psi)

Ys = Yield Strength (psi)
OD = Nominal outside Diameter (in)
Wt = Minimum wall thickness (in)

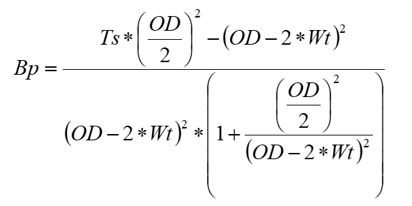
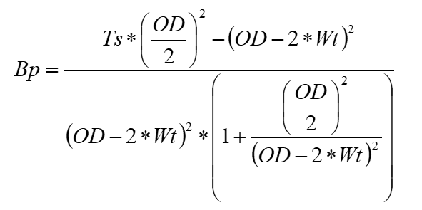
The burst pressure is calculated by using the following formula:

BP = Burst pressure (psi)
Ts = Tensile Strength (psi)
OD = Nominal outside Diameter (in)
Wt = Minimum wall thickness (in)